Time-Delay Filters

This section describes the time shift properties of the WDM wavelets. This is based on the results in section 4 of Ref. [1] .

Introduction

The WDM wavelets \(\{g_{nm}(t)|n\in\{0,1,\ldots,N_t-f\}, m\in\{0,1,\ldots,N_f-1\}\}\) form a complete basis, meaning that any time series can be expanded in terms of these wavelets. In particular, if we take a single wavelet and shift it in time, \(g_{nm}(t+\delta t)\) we can rexpand this in terms of the original, unshifted wavelet basis. The coefficients of this expansion are given by the overlap integrals

(38)\[X_{nn';mm'}(\delta t) = \int \mathrm{d}t \, g_{nm}(t+\delta t) g_{n'm'}(t) .\]

These coefficients are called the time-delay matrix elements. They can be written as an integral over frequency;

(39)\[X_{nn';mm'}(\delta t) = \int \mathrm{d}f \, \exp(-2\pi i f\delta t) \tilde{G}^*_{nm}(f) \tilde{G}_{n'm'}(f) .\]

Most of the \(X_{nn';mm'}(\delta t)\) coefficients are zero because the wavelets \(\tilde{G}_{nm}(f)\) have compact support in the frequency domain and the integral will vanish unless the wavelets overlap.; the only non-zero coefficients are those for which \(m'=m\) or \(m'=m\pm 1\). In the general case when \(m\neq 0\) and \(m'\neq 0\), these integrals evaluate to give (the following results are derived in the section below)

(40)\[X_{nn';mm}(\delta t) = \mathrm{Re} \bigg\{ (-1)^{(n-n')m} \exp(2\pi i m \Delta F \delta t) C^*_{nm} C_{n'm} T_{n-n'}(\delta t) \bigg\} ,\]
(41)\[X_{nn';m(m\pm 1)}(\delta t) = \mathrm{Re} \bigg\{ (-1)^{(n-n')m} (\mp i)^{n-n'} \exp\left(2\pi i \left(m\pm\frac{1}{2}\right) \Delta F \delta t\right) C^*_{nm} C_{n'(m\pm 1)} T'_{n-n'}(\delta t) \bigg\} ,\]

where the time-delay filters \(T_{\ell}(\delta t)\) and \(T'_{\ell}(\delta t)\) are defined as

(42)\[T_{\ell}(\delta t) = \int \mathrm{d}f \, \exp(2\pi i f (\ell \Delta T - \delta t)) |\tilde{\Phi}(f)|^2 ,\]
(43)\[T'_{\ell}(\delta t) = \int \mathrm{d}f \, \exp(2\pi i f (\ell \Delta T - \delta t)) \tilde{\Phi}\left(f-\frac{1}{2}\Delta F\right)\tilde{\Phi}\left(f+\frac{1}{2}\Delta F\right) .\]

The time-delay filters \(T_{\ell}(\delta t)\) and \(T'_{\ell}(\delta t)\) are implemented in WDM.code.time_delay_filters.filters.time_delay_filter_Tl() and WDM.code.time_delay_filters.filters.time_delay_filter_Tl_prime() respectively.

The full time-delay matrix elements \(X_{nn';mm'}(\delta t)\) are implemented in WDM.code.time_delay_filters.filters.time_delay_X().

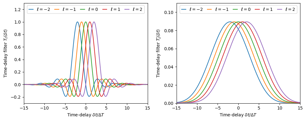
These functions can be precomputed and interpolated for efficient use later. As can be seen from the plots in Figure 7, these time-delay filters only need to be interpolated in the narrow range \(0\leq \delta t < 2\Delta T\).

Time_Delay_Filters

Figure 7 The time-delay filter functions \(T_\ell(\delta t)\) (left) and \(T'_\ell(\delta t)\) (right) plotted as a function of \(\delta t\) for several values of \(\ell\).

Derivation

This section contains a derivation of the results in Eqs. (40) to (43) above.

Start from the definition of the time-delay matrix elements in the frequency domain in Eq. (39).

First consider the case \(m'=m\) (and assume that \(m>0\)). Using the frequency-domain definition of the WDM wavelets

(44)\[\tilde{G}_{nm}(f) = \frac{1}{\sqrt{2}} \exp\left(-2\pi ifn\Delta T\right) \left( C_{nm} \tilde{\Phi}(f+m\Delta F) + C^*_{nm} \tilde{\Phi}(f-m\Delta F) \right)\]

gives

(45)\[\begin{split}\begin{align} X_{nn';mm}(\delta t) = \frac{1}{2} \int \mathrm{d}f \, \exp(-2\pi i f\delta t) \exp\left(2\pi if(n-n')\Delta T\right) \bigg[&C^*_{nm} C_{n'm} \tilde{\Phi}(f+m\Delta F)\tilde{\Phi}(f-m\Delta F) + \\ &C^*_{nm} C^*_{n'm} \tilde{\Phi}(f+m\Delta F)\tilde{\Phi}(f-m\Delta F) + \\ &C_{nm} C_{n'm} \tilde{\Phi}(f+m\Delta F)\tilde{\Phi}(f-m\Delta F) + \\ &C_{nm}C^*_{n'm} \tilde{\Phi}(f+m\Delta F)\tilde{\Phi}(f-m\Delta F) \bigg] . \end{align}\end{split}\]

Using the fact that wavelets have compact support in frequency and the fact that \(m>0\), only the first and last terms in the square brackets are non-zero. Changing variables in the integrals to centre all the window functions around zero frequency gives

(46)\[\begin{split}\begin{align} X_{nn';mm}(\delta t) &= \frac{1}{2}\int\mathrm{d}f\; \exp(-2\pi i f \delta t) \exp(2\pi i m \Delta F \delta t) \exp(2\pi i f (n-n') \Delta T) \exp(-2\pi i (n-n')m \Delta F \Delta T) C^*_{nm} C_{n'm} \left|\tilde{\Phi}(f)\right|^2 \\ &+ \frac{1}{2}\int\mathrm{d}f\; \exp(-2\pi i f \delta t) \exp(-2\pi i m \Delta F \delta t) \exp(2\pi i f (n-n') \Delta T) \exp(2\pi i (n-n')m \Delta F \Delta T) C_{nm} C^*_{n'm} \left|\tilde{\Phi}(f)\right|^2 . \end{align}\end{split}\]

Using \(\Delta F \Delta T = 1/2\) gives

(47)\[\begin{split}\begin{align} X_{nn';mm}(\delta t) &= \frac{(-1)^{(n-n')m}\exp(2\pi i m \Delta F \delta t)}{2} C^*_{nm} C_{n'm} \int\mathrm{d}f\; \exp(2\pi i f ((n-n')\Delta T - \delta t)) \left|\tilde{\Phi}(f)\right|^2 \\ &+ \frac{(-1)^{(n-n')m}\exp(-2\pi i m \Delta F \delta t)}{2} C^*_{nm} C_{n'm} \int\mathrm{d}f\; \exp(2\pi i f ((n-n')\Delta T - \delta t)) \left|\tilde{\Phi}(f)\right|^2 . \end{align}\end{split}\]

In the second integral, change the integration variable \(f\to -f\) to get

(48)\[X_{nn';mm}(\delta t) = \mathrm{Re} \bigg\{ (-1)^{(n-n')m} \exp(2\pi i m \Delta F \delta t) C^*_{nm} C_{n'm} T_{n-n'}(\delta t) \bigg\} ,\]

where the time-delay filter \(T_{\ell}(\delta t)\) is defined as above. This is the desired result for \(m'=m\).

The case \(m'=m\pm 1\) can be derived in a similar manner.

References